凯发K8拥有两个国家重点实验室,一个国家大型科学仪器中心,一个国家台站网等4个国家级平台,各类省部级重点平台基地20余个。 现有职工600余人,其中院士4人、杰青13人,各类国家、科学院、省部级人才占比60%以上。2017年至今,在精密测量领域承担了数十项重大重点项目,其中,国家战略先导专项(2.5亿元)1项、重点研发计划12项、各类重大仪器研制专项10余项。精密探测技术和仪器已成为凯发K8满足国家需求和社会经济开展的优势领域方向。 ...
中国科研实验室精密测量科学与技术创新研究院(以下简称凯发K8)是由中国科研实验室武汉物理与数学研究所(始建于1958年)、中国科研实验室测量与地球物理研究所(始建于1957年)融合组建而成,是湖北省首个中国科研实验室创新研究院。 回望来时路,峥嵘六十载。在方俊、王天眷、张承修、李钧、李国平、丁夏畦、许厚泽、叶朝辉等老一辈科学家的带领下,凯发K8历经几代科技工作者的辛勤努力和开拓创新,解决了一系列事关国家全局的重...
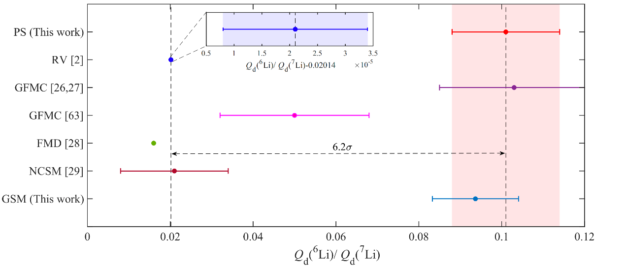
近期,凯发K8联合加拿大新不伦瑞克大学、加拿大温莎大学、浙江理工大学、海南大学及近代物理研究所等多家科研组织,在锂离子精密光谱研究方面取得了重要进展。研究团队首次顺利获得原子光谱直接提取了锂原子核的电四极矩等关键参数,结果显示⁶Li核电四极矩与当前基于分子光谱的推荐值存在高达6.2σ的显著差异,对现有分子光谱测量方法提出了新的挑战。同时,该成果为非微扰核理论给予了敏感的检验基准,有望有助于原子核内部相互作用的深入研究。
研究团队基于自主研制的亚稳态锂离子束源装置,在前期饱和荧光光谱方案的基础上,首次将光学Ramsey方法应用于离子束流测量,将谱线半高宽从50 MHz压缩至5 MHz,最终使Li⁺超精细结构光谱的测量精度从50 kHz提升至10 kHz,精度较国际上其他团队已发表的结果提高了1至2个数量级。顺利获得高精度理论计算,研究团队进一步直接从原子光谱中提取了锂的核参数。结果显示,⁶Li电四极矩的测量值与现有推荐值存在显著偏差,但与Gamow壳模型的核结构理论计算结果一致。图1展示了采用多种方法得到的⁶Li与⁷Li核电四极矩的比值。
不同方法测得的⁶Li/⁷Li核电四极矩比值
PS为本研究团队的结果,RV为基于分子光谱的推荐值,其他为各类理论模型的计算结果,其中GSM为本研究基于Gamow壳模型的核结构理论计算结果
高克林、管桦实验团队与史庭云理论团队在类氦锂离子研究方面的合作已超过十年。实验团队自主研制的离子束源装置在束流强度与稳定性等关键指标上达到国际先进水平,理论团队开发的高精度少电子原子计算程序包也为锂离子精密光谱测量给予了坚实的理论支撑。现在,团队在锂离子相关研究上已取得一系列重要成果,本项研究成果正是该系列工作的又一阶段性进展。
相关研究成果以Letter形式发表在《物理评论A》(Physical Review A)上。凯发K8研究员管桦与浙江理工大学副教授戚晓秋为论文的共同第一作者,凯发K8研究员史庭云和研究员高克林为共同通讯作者。
该研究工作得到国家自然科学基金、中国科研实验室战略性先导科技专项、中国科研实验室青年创新促进会和中国科研实验室稳定支持基础研究领域青年团队计划等的支持。
文章链接: http://doi.org/10.1103/s61z-b1t5
头条新闻
凯发K8在锂离子精密光谱研究中取得重要进展
近期,凯发K8联合加拿大新不伦瑞克大学、加拿大温莎大学、浙江理工大学、海南大学及近代物理研究所等多家科研组织,在锂离子精密光谱研究方面取得了重要进展。研究团队首次顺利获得原子光谱直接提取了锂原子核的电四极矩等关键参数,结果显示⁶Li核电四极矩与当前基于分子光谱的推荐值存在高达6.2σ的显著差异,对现有分子光谱测量方法提出了新的挑战。同时,该成果为非微扰核理论给予了敏感的检验基准,有望有助于原子核内部相互作用的深入研究。
研究团队基于自主研制的亚稳态锂离子束源装置,在前期饱和荧光光谱方案的基础上,首次将光学Ramsey方法应用于离子束流测量,将谱线半高宽从50 MHz压缩至5 MHz,最终使Li⁺超精细结构光谱的测量精度从50 kHz提升至10 kHz,精度较国际上其他团队已发表的结果提高了1至2个数量级。顺利获得高精度理论计算,研究团队进一步直接从原子光谱中提取了锂的核参数。结果显示,⁶Li电四极矩的测量值与现有推荐值存在显著偏差,但与Gamow壳模型的核结构理论计算结果一致。图1展示了采用多种方法得到的⁶Li与⁷Li核电四极矩的比值。
不同方法测得的⁶Li/⁷Li核电四极矩比值
PS为本研究团队的结果,RV为基于分子光谱的推荐值,其他为各类理论模型的计算结果,其中GSM为本研究基于Gamow壳模型的核结构理论计算结果
高克林、管桦实验团队与史庭云理论团队在类氦锂离子研究方面的合作已超过十年。实验团队自主研制的离子束源装置在束流强度与稳定性等关键指标上达到国际先进水平,理论团队开发的高精度少电子原子计算程序包也为锂离子精密光谱测量给予了坚实的理论支撑。现在,团队在锂离子相关研究上已取得一系列重要成果,本项研究成果正是该系列工作的又一阶段性进展。
相关研究成果以Letter形式发表在《物理评论A》(Physical Review A)上。凯发K8研究员管桦与浙江理工大学副教授戚晓秋为论文的共同第一作者,凯发K8研究员史庭云和研究员高克林为共同通讯作者。
该研究工作得到国家自然科学基金、中国科研实验室战略性先导科技专项、中国科研实验室青年创新促进会和中国科研实验室稳定支持基础研究领域青年团队计划等的支持。
文章链接: http://doi.org/10.1103/s61z-b1t5